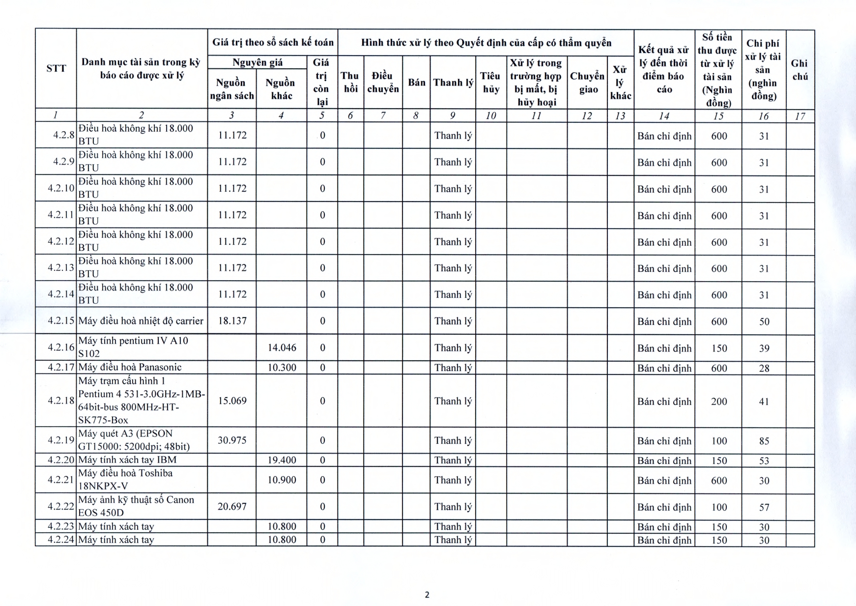
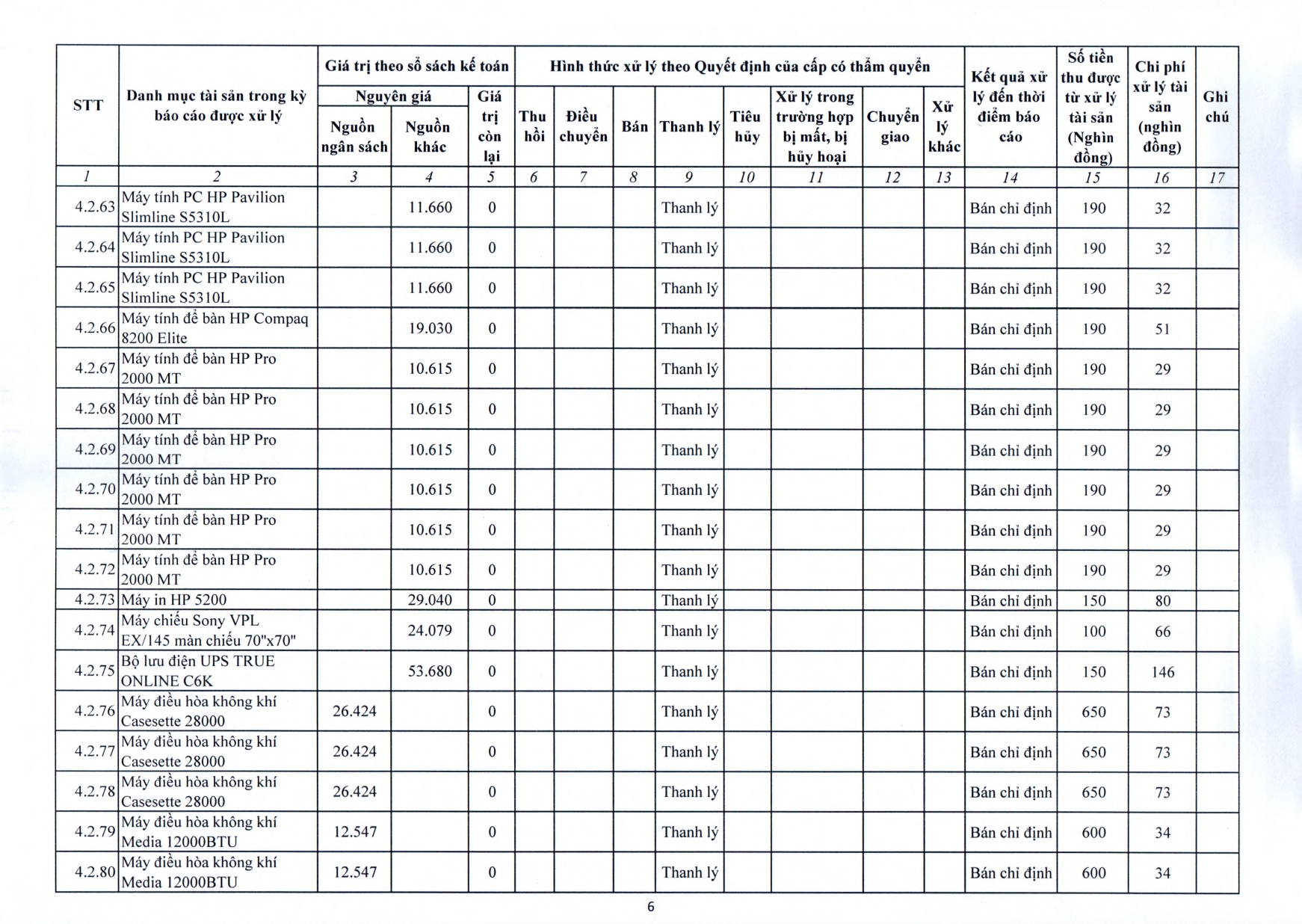
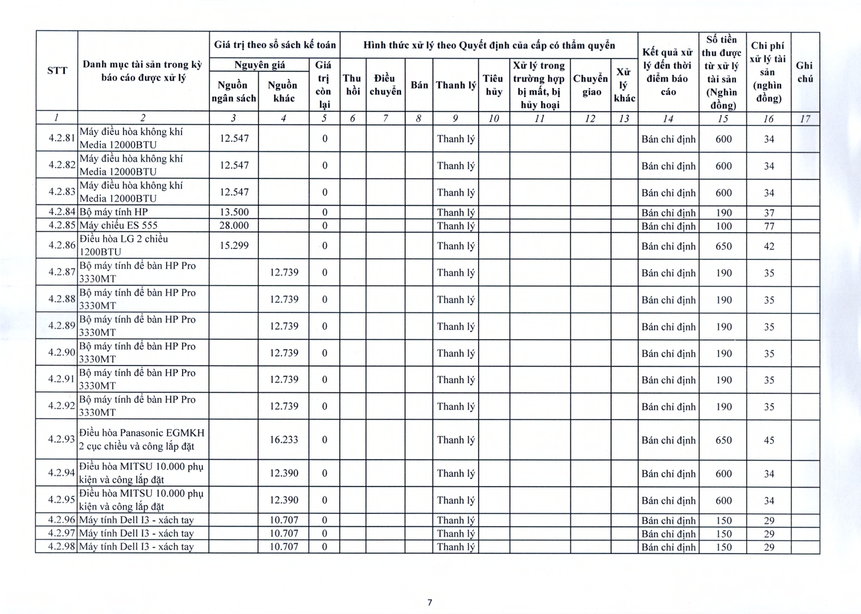
CÔNG KHAI TÀI SẢN CÔNG NĂM 2025
Cập nhật: 26/02/2026Quyết định công khai tài sản công năm 2025 - Tình hình sử dụng và xử lý tài sản công năm 2025

























Tin liên quan
- HỘI NGHỊ TỔNG KẾT CÔNG TÁC ĐẢNG NĂM 2014 VÀ TRIỂN KHAI NHIỆM VỤ NĂM 2015
- CÔNG VĂN SỐ 7294/BTNMT-TTTT NGÀY 30 THÁNG 8 NĂM 2023 CỦA BỘ TÀI NGUYÊN VÀ MÔI TRƯỜNG VỀ VIỆC TỔ CHỨC CÁC HOẠT ĐỘNG HƯỞNG ỨNG CHIẾN DỊCH LÀM CHO THẾ GIỚI SẠCH HƠN NĂM 2023
- VIỆN KHOA HỌC ĐO ĐẠC VÀ BẢN ĐỒ CÔNG BỐ QUYẾT ĐỊNH VỀ TỔ CHỨC BỘ MÁY VÀ CÔNG TÁC CÁN BỘ
- KHỐI THI ĐUA SỐ IV TRIỂN KHAI CÔNG TÁC THI ĐUA KHEN THƯỞNG VÀ TUYÊN TRUYỀN NĂM 2015
- ĐẨY MẠNH THỰC HIỆN NGHỊ QUYẾT TRUNG ƯƠNG VỀ XÂY DỰNG VÀ PHÁT TRIỂN VĂN HÓA CON NGƯỜI VIỆT NAM ĐÁP ỨNG YÊU CẦU BỀN VỮNG ĐẤT NƯỚC
- LỄ ĐÓNG MỞ THẦU GÓI THẦU SỐ 8 VÀ GÓI THẦU SỐ 9 - DỰ ÁN "TĂNG CƯỜNG TRANG THIẾT BỊ CÔNG NGHỆ PHỤC VỤ NGHIÊN CỨU KHOA HỌC"
- ĐẢNG VIÊN VIỆN KHOA HỌC ĐO ĐẠC VÀ BẢN ĐỒ THAM GIA HỘI NGHỊ TRỰC TUYẾN HỌC TẬP, QUÁN TRIỆT NGHỊ QUYẾT SỐ 41-NQ/TW CỦA BỘ CHÍNH TRỊ
- ĐẠI HỘI ĐẠI BIỂU ĐẢNG BỘ TÀI NGUYÊN VÀ MÔI TRƯỜNG LẦN THỨ III, NHIỆM KỲ 2015 - 2020
- BỘ TÀI NGUYÊN VÀ MÔI TRƯỜNG PHÁT ĐỘNG QUYÊN GÓP ỦNG HỘ ĐỒNG BÀO MIỀN TRUNG BỊ THIỆT HẠI DO MƯA LŨ
- BỘ TÀI NGUYÊN VÀ MÔI TRƯỜNG THÁO GỠ VƯỚNG MẮC ĐỀ ĐÀ NẴNG PHÁT TRIỂN XANH, BỀN VỮNG